Working in partnership with Asda Money, Tom has analysed the data to come up with a formula for a tantrum-free plane journey on short-haul flights. The story has been covered in several mainstream media outlets (links to follow), and this is the press release.
PARENTS’ PRAYERS ANSWERED AS THE FORMULA FOR A TANTRUM-FREE FLIGHT IS REVEALED
- Asda Money and Dr Tom Crawford of Oxford University unveil mathematical formula for a stress-free half-term following an analysis of children’s plane tantrum behaviours
- The new formula addresses the four main tantrum triggers and the most reported ways of managing them
- The formula comes as research shows 65% of parents admit they get anxious at the prospect of travelling on a plane with their kids
- To further help parents this half-term Asda Money has compiled a tantrum-free travel snack bundle, containing snacks proven to keep outbursts at bay
If there’s one thing all parents become well-acquainted with when raising kids, it’s tantrums. But when you’re trapped inside a plane with a screaming baby in your arms or a toddler misbehaving – a tantrum hits differently.
Asda Money has enlisted the help of Dr Tom Crawford of Oxford University to reveal the mathematical formula for a tantrum-free flight for parents travelling with young children – just in time for half term.
The formula comes as new research by Asda Money reveals children are most likely to have a tantrum 27 minutes and 48 seconds into a flight, with each tantrum lasting an average of 15 minutes and six seconds. To some, this can feel like a lifetime when trapped inside a plane with a screaming child and upwards of 200 people, with all eyes on you.
So much so that nearly two-thirds (63%) of parents admit to feeling anxious about the prospect of travelling with their children with a third stating they feel stressed (33%), embarrassed (20%) and anxious (15%) when their child does have an in-cabin wobbly.
The stress is so fear-inducing that British parents would rather go for lunch with their in-laws (26%), spend two hours stuck alone during a commute (19%), or deal with the anxiety that comes with a new job interview (18%) than take a plane ride with their brood. One in eight (12%) parents even confessed that they’d rather go through a break-up.
The research also revealed that 35% of parents have opted for a less convenient mode of transport like a bus, ferry, train, or boat to specifically avoid being in this stressful moment. But parents looking for last-minute winter sun this half term aren’t blessed with a suite of transportation options.
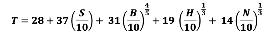
Dr Tom Crawford’s formula provides a method to calculate the amount of time (T) until a tantrum is expected to occur during a flight to delay it, so it doesn’t happen mid-air. It takes into consideration the most reported ways of managing an outburst to prevent a tantrum for the duration of an average short haul flight to Europe from the UK.

According to parents of the nation’s tetchy toddlers, the most common triggers of a tantrum are sleepiness (S), boredom (B), hunger (H) and noise (N). Each has been scored from zero to ten, with zero meaning the issue is being ignored and ten meaning the issue is being managed successfully.
Dr Tom Crawford comments: “If all four of the main causes of a tantrum are addressed, meaning they score 10, the average time until a tantrum occurs on a flight can be increased to 129 minutes, which is almost five times more than the expected time until a tantrum without any intervention. This means parents will have a tantrum-free journey for flights under 129 minutes, which covers many short haul flights to Europe that families will be taking during half term.
“To score ten and effectively address the four main tantrum triggers, parents need to ensure children are taking a nap for 37 minutes to conquer sleepiness and will need to prevent boredom by either drawing, watching movies or giving their child a tablet or phone, which is reported to entertain them for 31 minutes. On top of this, they will need to set aside 19 minutes to enjoy snacks from Asda to prevent hunger and finally, omit noise through music or reading that is reported to preoccupy kids for 14 minutes.”
As well as the formula, to further help parents travelling this half term, Asda Money has launched a tantrum-free snack bundle, consisting of crisps, fruit, biscuits, crackers and raisins– all snacks proven by parents to keep your child’s tantrums, and munchies, at bay. Shoppers can find out more about the bundle here.
Neil Foster, Senior Manager at Asda Money, commented: “At Asda Money we always want to go the extra aisle to ensure our customers can focus on what matters most – enjoying themselves with family. Whilst the half-term break is the perfect opportunity to spend some family time with the kids, there’s no doubt that it doesn’t come with its own challenges. Especially for those travelling on a plane with young kids. So, as well as keeping parents stress-free with insurance and travel money, we hope we’ve made half-term travel plans a little bit easier with this equation for a tantrum-free flight, as well as a tantrum-tree travel snack bundle.”
To help ease any future travel plans with the kids, Asda Money is also offering 10% off its travel insurance until 31st December 2023*. To redeem the discount, use promo code ASDASHOP and up to three kids will go free per insured adult, subject to medical screening, when you buy direct from us.
For those parents looking to tick another thing off their long list ahead of travelling, Asda Money also offers travel money, which can be ordered with ease online and delivered to your home or picked up from one of the Asda stores through our Click and Collect service.
For further information, please visit www.money.asda.com.
Notes to editors:
1Survey conducted between 13-10-23 and 16-10-23 of 2,002 respondents with children aged between two-and-six-years-old who have travelled on a plane, commissioned by ASDA Money.
Formula explanation:
- 28 is the base level of expected time in minutes before a tantrum on a flight
- 37 is the average number of minutes sleeping is expected to prevent a tantrum
- 31 is the average number of minutes watching something on a screen is expected to prevent a tantrum
- 19 is the average number of minutes snacking is expected to prevent a tantrum
- 14 is the average number of minutes listening to something is expected to prevent a tantrum
- Each variable (S, B, H, N) is divided by 10 so that the value in the formula is between 0 and 1
- Sleeping was found to be the most effective way to prevent a tantrum and so the variable (S/10) is used as the baseline against which the other preventative measure are compared
- (B/10) is raised to the power of 4/5 as stopping boredom is expected to be approximately 80% as effective as sleeping at preventing a tantrum
- (H/10) is raised to the power of 1/3 as stopping hunger is expected to be approximately 33% as effective as sleeping at preventing a tantrum
- (N/10) is raised to the power of 1/3 as reducing noise is expected to be approximately 33% as effective as sleeping at preventing a tantrum
