This article was written by Tom for the St John’s College Inspire Programme which aims to encourage students from non-selective state schools to apply to elite universities. The original version of the article is here.
If I told you that to determine the size of a volcanic eruption all you needed were three important measurements, you’d most likely think I’d lost the plot. Well, there’s a little more to it – aka some amazingly simple maths, but that is exactly how it’s done.
Suppose you were given the daunting task of trying to predict the blast radius of a volcanic eruption: where would you start? Perhaps some experiments are in order. If you could measure the size of several different eruptions from volcanoes of different shapes, sizes and strengths then maybe you could spot a pattern. It’s actually a pretty good idea, and for most situations a good starting point, but volcanic eruptions are pretty rare. Like 1 per year for the past 10,000 years rare (there’s an amazing interactive tool here that I highly recommend you play with). So, let’s try something a little different…
A volcano erupts due to a build-up in pressure which is suddenly released in a large explosion. Now, for better or worse, as humans we happen to be experts in the field of explosions. We’ve studied them for centuries and have data available from thousands of experiments to tell us what the most important factors are when it comes to determining the size of a blast.
Number 1 – time. The longer the time after the explosion, the further the fireball will have travelled. Number 2 – energy. Perhaps as expected, increasing the energy of the explosion leads to an increased fireball radius. The third and final variable was a little less obvious – air density. For a higher air density, the resultant fireball is smaller. If you think of density as how ‘thick’ the air feels, then a higher air density will slow down the fireball faster and therefore cause it to stop at a shorter distance.
Now, the exact relationship between these three variables, time t, energy E, density p, and the radius r of the explosion, happens to be a highly classified military secret – or at least it used to be before British mathematician G. I. Taylor came along. His ingenious approach was to use the method of scaling analysis. For the three variables identified as having an important effect on the blast radius, we have the following units:
- Time = [T]
- Energy = [M L2 T-2]
- Density = [M L-3]
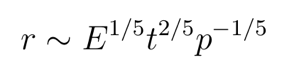
where T represents time in seconds, M represents mass in kilograms and L represents distance in metres. The quantity that we want to work out – the radius of the explosion – also has units of length L in metres. Taylor’s idea was to simply multiply the units of the three variables together in such a way that he obtained an answer with units of length L. Since there is only one way to do this using the three given variables, the answer must tell you exactly how the fireball radius depends on these parameters! It may sound like magic, but let’s give it a go and see how we get on.
To eliminate M, we must divide energy by density (this is the only way to do this):

Now to eliminate T, we must multiply by time squared (again this is the only option without changing the two variables we have already used):

And finally, taking the whole equation to the power of 1/5 we get an answer with units equal to length L:

This gives the final result that can be used to calculate the radius r of the fireball created by an explosion:

And that’s it! A simple equation for the radius of an explosion which can be applied to an erupting volcano. All that we need to know is the energy – or pressure stored within the volcano, the time after the eruption and the density of the air and we have our prediction of the eruption radius.
Of course, this is only an estimate and much more complicated models are required to accurately monitor and control eruption zones, but I wanted to share it with you to demonstrate the awesome power of the technique of scaling analysis. It’s something you most likely are yet to see at school, and yet it is an incredibly simple and powerful tool in higher level study of maths and science at university. For many problems the equations will be too difficult for you to solve exactly and so instead you have to rely on estimation techniques such as this to be able to gain some insight into the correct solution.
If you’re yet to be convinced just how amazing scaling analysis is, check out an article here explaining the use of scaling analysis in my PhD thesis on river outflows into the ocean.
And if that doesn’t do it, then I wish you the best of luck waiting for that next volcanic eruption…
If you want to investigate scaling analysis further try these exercises set by St John’s Maths Tutor Prof. Stuart White (answers provided via a link at the bottom of the page).
Task 1
Consider two volcanic explosions. Assume the air density is the same, and the blast radius of the first explosion is twice that of the second explosion in the same time period. How many times more energy would you expect to be released in the first explosion compared with the second?
Task 2
We can use scaling analysis in all sorts of situations. Suppose there is a volcanic eruption on an island, and you need to leave quickly by rowing boat. It turns out we can use scaling analysis to see how the velocity v of the boat depends on the number of rowers N.
The drag caused by the friction as the boat travels through the water is a force F proportional to A v2 where A is the submerged cross-sectional area of the boat: F ~ A v2
This means we’ll need a total power P to overcome this drag: P = F v ~ A v3
Assuming all the rowers weigh the same, Archimedes’ Principle tells us that the displaced volume of water V is proportional to N (we assume that the mass of the boat is negligible compared to the rowers). Therefore: A ~ V2/3 ~ N2/3
Assuming also that all rowers produce the same power, we have: P ~ N
Putting this all together, how does v scale with N?
(This analysis was first performed by T. McMahon in 1971, and it agrees pretty well with Olympic rowing times.)
Check your work against the solutions here.
