Rick Chen – Overall Winner of the 2021 Teddy Rocks Maths Essay Competition
Rock and Roll
If I just give you a shape like this:

How would you find its Cartesian equation?
Earlier this year, I asked this question to myself when I had to model a similar curve. Eventually, it led me to explore further into the world of curves, in particular this one right here – I was fascinated by how we can model a familiar real life situation with just a set of equations with pure mathematical symbols.
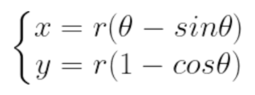
This curve is called a cycloid. It is formed by rolling a circle along a straight line, and tracing the path of a specific point on the circle.

Now that I have told you the ‘non-numeric’ definition of this curve, can you work out its equation now?
This is where parametric equations come in handy. Essentially, we split up the x-coordinate and the y-coordinate of the point, and find an expression for each of them individually. Let’s think about it.
The diagram below shows two circles with radii r, the second one being the position of the initial circle that has been rolled for some distance, i.e. the length from D to B. For convenience, we can define point D as the origin, so we can say that point D is at (0, 0) initially. This point is going to have a different position on the second circle after rolling, and we can call that point D1. Now, let’s denote angle D1C1B as 𝞱 and consider the segments in the circle.

First of all, Let’s think about the movement of the circle centre. On the above diagram, how can we represent the distance between C and C1? Well, if the circle is rolling without slipping, then arc D1B would have the exact same length as line DB, since they are always in contact when the circle is rolled. Therefore, the distance between C and C1 can be represented as r𝞱. Furthermore, C1 has coordinates of (r𝞱,r).
Note that these coordinates describes all possible positions of the centre, since we have not made any assumptions about r and 𝞱. Now that we know the coordinates of the centre, how do we get from the centre to the point D1 (the point that we care about)? It is clear from the diagram that D1 has coordinates of (r𝞱 – rsin 𝞱,r – rcos 𝞱), combining the coordinate of C1 with the components of right-angled triangle C1GD1.
There we go! We now perfectly define the coordinates D1 for all values of 𝞱. Thinking the curve as a continuous set of points, the coordinates are exactly the parametric equations for the curve:

This is the power of parameterising a curve. We normally do this when x and y are both closely related to another variable, which is 𝞱 in this case. (this is called the free parameter). For comparison, this would be the normal Cartesian equation:

Undoubtedly, the parametric equations look much simpler and approachable. Using this technique, we can explore a lot of interesting curves that we normally cannot.
Epicycloids
The family of roulettes, all generated by rolling shapes, are one such type of curve. Cycloids are classic, since they are simply formed by rolling a circle on a line. Epicycloids are perhaps more visually satisfying, since they are formed by rolling a circle around another circle. The moving circle is referred to as the epicycle.

The most basic and famous epicycloid is perhaps the cardioid. As the animation shows, you get this heart-like curve when the two circles have equal radius. At this point you might wonder: what then is the equation of this curve? Before we go into that, be careful – there is a hidden paradox that can easily trip you up, which is the coin rotation paradox.
Close your eyes and focus on the epicycle. After it has been rolled around the fixed circle once, how many self rotation has it completed? If you thought the answer is one rotation, observe the radial line plotted. The epicycle actually rotates twice.
An easy way to see this is by imagining the Earth and the Moon. The Moon is tidal locked by the Earth, which conceptually means that one face of the Moon always faces us. This implies that, during a 360 degrees orbit, the moon is actually not self-rotating – that’s why the epicycle completes two self-rotations, with one coming from just going around the fixed circle. In fact, we can generalise this: for a fixed circle of radius a and an epicycle with radius b, the epicycle would rotate 1 + a/b times.
Now that the paradox has been cleared, I am perfectly confident that you can now work out the parametric equations for a cardioid – think about how the centre of the epicycle moves with respect to angle 𝞱, then find the relative position of a point from that centre. Here is a diagram to help you. Notice that by the coin rotation paradox, the angle of rotation inside the epicycle is now 2𝞱. (Hint: you will need the double-angle formulae at some point.)

If you got this set of equations:

then well done! With this type of method, we can easily generalise these equations to a greater range of curves. For this essay, I have developed two interactive Desmos pages dedicated to drawing roulettes, one for trochoids, a more general form of cycloids, and one for epitrochoids and hypotrochoids, which are more general forms of epicycloids. I strongly recommend not only playing around yourself, but also see if the equations make sense. (This might even be the highlight of the essay). Here are some teasers!


Hopefully, those can help you to develop a further interest and understanding of these curves.
Where can we find them?
Roulettes are genuinely quite common, but they often give great surprises. I certainly did not expect to find cycloids on Europa, Jupiter’s Moon – there are cycloids hiding amongst the seemingly random red scars. Jupiter has an extreme gravitational field, such that Europa is being stretched and squashed by it constantly. This enormous force produces ice cracks on the surface. As Europa orbits around Jupiter, the orientation and magnitude of this force also changes constantly, leaving bends on its surface.

Back to Earth, cardioid curves can be commonly found in coffee cups! (I personally did not resist the temptation of an experiment). Parallel sun rays are reflected by the cylindrical surface – and beautifully the reflected light rays converge to a cardioid. The cup has a caustic surface, which contributes to a lot of optic phenomenons, such as light patches produced by a glass of water.


Cardioids are also used in, not surprisingly, cardioid microphones. You might notice that the diagram shows a cardioid on the polar plane, whose equation can be found using the relation 𝑎= (𝑥 +𝑦)1/2.

It looks even simpler, which is why it is commonly used to represent a cardioid.
Using the properties of cardioids, this microphone perfectly collects sound at the front proportionally, and filters out all sound coming from the back, represented by the cusp (where the two halves meet) of the cardioid. They are commonly used in musical performances, where you intentionally filter out sound from the audience’s direction.
Probably the most bizarre yet, epicycloids somehow relates to times tables. Here are some examples that I found using my Python program:

A more detailed description can be found on Mathologer, but I just thought this is really cool and wanted to mention it.
The Brachistochrone Problem
Roulettes are also essential in hard mathematical problems, the most famous of them all is the brachistochrone. Being a problem first solved by Johann Bernoulli in 1696, it describes the challenge of: given two points A and B on a plane, where B is lower than A but not directly below it, what is the shape of the path that gives the fastest descent from A to B, given that the path is frictionless and the only force acting is gravitational force downwards?
Your first guess could be a straight line, but the shortest path does not mean the fastest. You might also guess that it is the arc of a circle, which was actually Galileo’s guess back in 1638. However, it turns out that the answer is a cycloid!
Surprisingly, Johann’s solution involves the path of light. In 1662, Fermat published the principle of least time, which states that light traverses through the fastest route possible. Johann realised the potential similarities, so he tried to model the falling object as a light ray.
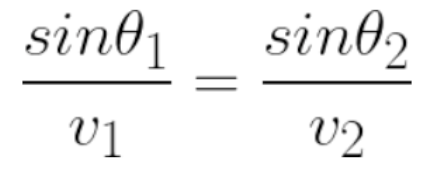
Normally, The law of refraction states the relationship between angle of incidence, angle of refraction and speed of light in different media with different densities, which is calculated by the equation:

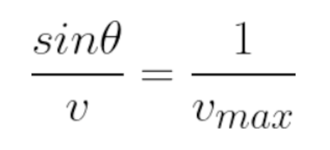
This equation gives us the clue that the maximum speed occurs when sin𝞱 = 1, i.e. when sin𝞱 is also maximum. Intuitively, the object should be the fastest when the angle to the vertical is 90 degrees, i.e when it is about to be curving upwards . So we could say that for a specific point E on the curve with defined v and 𝞱 [1]:


Let’s just randomly draw a solution as curve AB. Looking at the diagram, the tangent of the curve at point E is drawn. When another point F on the curve is infinitely close to E, the tangent line can be thought of as the actual curve. This is essentially what you do in differentiation – taking two points on the curve that are infinitely close and then consider change in y and x.
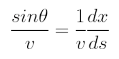
Here, the angle of refraction is angle FEG. In this right-angled triangle, 𝑠𝑖𝑛𝜃 = 𝑑𝑥/𝑑𝑠 [2], and (𝑑𝑠)2 = (𝑑𝑥)2 + (𝑑𝑦)2 [3]. The term dx refers to GF, which effectively means a tiny change in x; dy refers to GE, and ds refers to the hypotenuse EF, a tiny change in distance along the curve. Note that if an object at point E has speed v, we can apply the law of refraction and then substitute in [2] to get [4]:

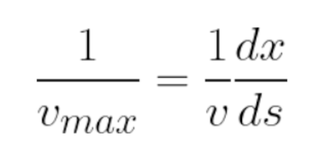
Next, by conservation of energy, v = (2𝑔𝑦)1/2 for every position of the falling object, where y is the vertical distance dropped, in the case of point E, y would be the length of CE. In an ideal model, the speed of a falling object is indeed only dependent on its height. This can be derived from 𝐾𝐸 𝑔𝑎𝑖𝑛𝑒𝑑 = 𝐺𝑃𝐸 𝑙𝑜𝑠𝑡. Similarly, at the lowest point of descent H, the speed is maximised, and so vmax = (2𝑔𝐷)1/2, where D is the length of IH. Combining [1] and [4] together, we get [5]:

The full solution requires some knowledge of calculus, don’t worry if you can’t understand the intermediate steps because how we arrived here is more important. Continuing from [5]:



And at last we get an expression for x, which is exactly what we want! Change D into 2r, and the parametric equations for a cycloid magically shows up. This is also what we expected, since a cycloid rolled on the x-axis always has a turning point at y=2r.
Johann also challenged other mathematicians to solve this problem. Among them, Jacob Bernoulli, Newton, Leibniz and a few others all came up with different ways of approach, but I think Johann’s solution might be the most fascinating, as he himself had said: “In this way I have solved at one stroke two important problems – an optical and a mechanical one”.
Conclusion
This essay is only a glimpse of the world of roulettes. While researching, I quickly realised how beautiful, varied, mathematically interesting, yet practical and familiar they are. I think however that I have become more fond of these curves, through the process of deriving, discovering and actually visualising them. Finally, I will leave you with this picture of the mandelbrot set. Staring into the black cardioid, does it make you wonder: where are you going to see it next?

References
All images used are either my own screenshots or general pictures from wikipedia;
All related pages from “from Wolfram MathWorld”;

[…] Rick Chen ‘Into the World of Roulettes’ […]
LikeLike
[…] Overall Winner: Henry Jaspars2022 Student Winner: Zoe Burr2021 Overall Winner: Rick Chen2021 Student Winner: Caitlin […]
LikeLike