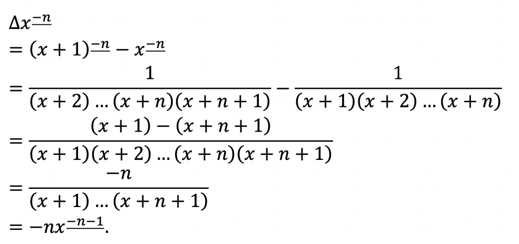
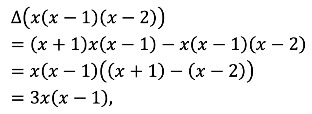
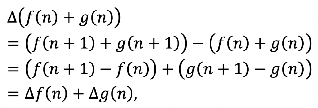
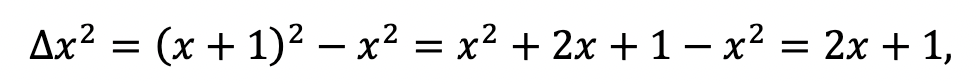
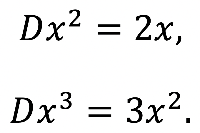
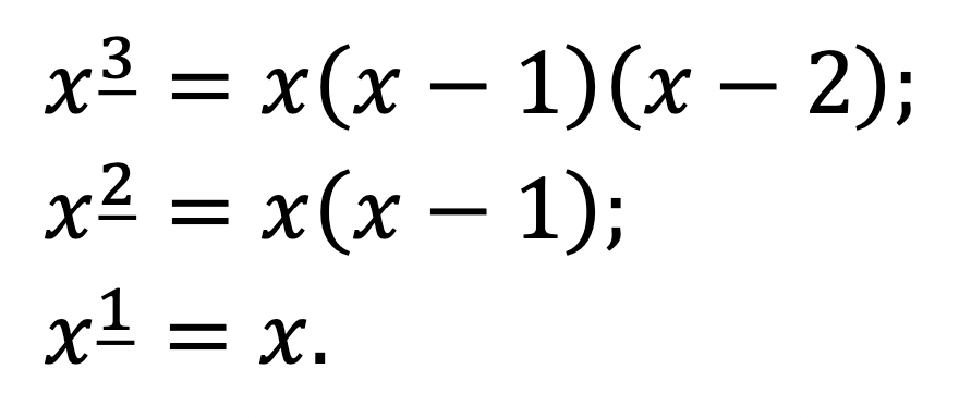
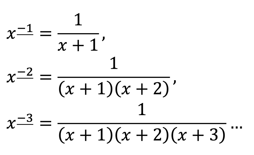
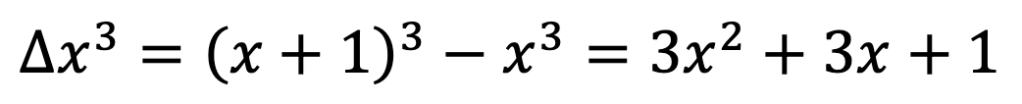
The Finite Calculus: Part I Differentiation

And that’s it!


3 comments

  1. A very interesting post introducing a new topic for me!
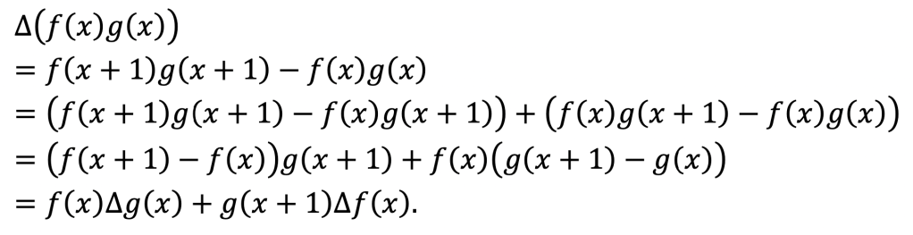
    With regard to the chain rule, it is interesting to look at the permutation invariant form:
    Delta(fg)=0.5[(g+Eg)(Delta(f)) + (f+Ef)(Delta(g)]

    (f+Ef)/2 is of course just the average of f(x) and f(x+1) and so can informally be thought of as f(x+0.5): here we see a link to the famous midpoint rule for computing finite distances!

    Like

Leave a comment