Ben Robson – 2020 Teddy Rocks Maths Essay Competition Honourable Mention
What is my favourite topic in maths?
As you’ve likely read the title, I’m sure you have already guessed the answer to this; my favourite topic in maths is in fact square numbers. From a young age I have adored maths, oftentimes doing various maths problems before bed with my dad ranging from how many seconds in 2 days (172,800) to how many steps to climb Mt. Everest (if I’m honest I cannot remember the answer here), in the process I discovered a fascination with square numbers; I loved the geometry aspect as well as the calculations (calculating big numbers is all a young child can ever dream of doing in his/her free time no?). Between the ages of 5 and 8, my sure-fire way to amaze everyone in the room was to announce 12 x 12 = 144.
Recently though I’ve found, much to my disappointment, that that doesn’t have quite the same effect. This hasn’t squandered my enjoyment with squares though as you will likely notice soon.
Section 1a: Mental maths
Due to my interest with squares I found myself throughout early secondary school calculating various larger ones and just looking at them for extended periods of time and in doing so I noticed certain patterns within them my favourite of which was in the series 362, 372, 382 and 392 (1296, 1369, 1444 (a personal favourite of mine) and 1521 respectively). The pattern I noticed was how 1296 is 196 with a 2 in the hundreds column, 1369 is 169 with a 3 in the hundreds column, 1444 is 144 with a 4 in the hundreds column and 1521 is 121 with a 5 in the hundreds column. The reason this is interesting is because both 196, 169, 144 and 121 are all square numbers and equal to (50-the original number)2. This pattern continues onwards but gets more convoluted as you stray further from 50 as you begin to have to carry numbers. Upon noticing this pattern, I looked for a way to utilise it in, by my own recognition, the purest form of maths: mental arithmetic. Instead of separating the number into a square and a single digit integer I subtracted the square from the number to give a multiple of 100. Let n be the number we intend to square and m2 be the number we are subtracting from the n2:

Now let’s instead call m=50-n. Then we get

Let’s get rid of that p now. As we can see n increases as p increases at the same rate, we therefore know n=p+c. Using any set of values, we can calculate:

Therefore

This means we can rearrange n=p+c to be

This means our final equation is now

Rearrange for n2 to get

This was my initial iteration of the equation I use for calculating square numbers mentally and works well for integers below 100 as it turns a difficult multiplication into a subtraction, and multiplication by 100 and an easier square number (between 1 and 50 rather than between 50 and 100). However, above n=100 then (50-n)2>502 and I have only learned 1-50 squared so this posed an issue. Looking back at the equation, n2=100(n-25) +(50-n)2 we can see all the constant values are multiples of 25. This means we could instead change them to be 100a, -25a and 50a (in order of appearance in the equation) where a is n/50 truncated for example for the number 63 would be 63/50=1.26 -> 1 so a=1 and the equation reads:

However, if n=163 then 163/50=3.26 -> 3 so a=3 and the equation we use is instead:

This ensures that the final bracket, in this case (150-n), is <50 so we can easily solve that part of the sum. The summation of the initial bracket is easier as it is essentially just multiplying by a digit between 1 and n/50 truncated (smaller and easier to deal with than n).
In conclusion, n2=100a(n-25a) +(50a-n)2, where n is the number we intend to square and a=n/50 truncated (basically n rounded down to the nearest 50) is an equation I’ve developed in order to calculate square numbers more easily in my head in order to wow strangers with my immense mathematical ability.
Section 1b: Mental maths (tricks)
While I’m on the topic of shortcuts to take in mental maths I’m going to outline a few more, all of which are to do with square numbers.
1. The difference of two squares. We already know about the difference of two squares:

however applying it to multiplications may not have crossed everyone’s mind. When multiplying two numbers you can first find the mean of them, then the difference between the mean and one of the original numbers, then do mean2 – difference2. This sum is made yet easier due to my earlier described method for calculating square numbers!
2. A method taught to primary school children learning to multiply is to halve one side and double the other to make the calculation more familiar (e.g. 14 x 3 becomes 7 x 6). This is essentially moving one of the factors from one side of the multiplication to the other. We can make this more applicable to a wider variety of calculations by separating the numbers completely into their prime factors then rearranging in whichever way is easiest. For example: sorting 5s and 2s into 10s, grouping 2s/3s together. One such way to sort these prime factors is into square numbers. This, in itself is not a difficult task, if for example you had a multiplication which ended with a prime factor sum as 263472 (e.g. 432 x 588) you can divide all the powers by 2 to get instead (23327)2 which is 5042. Now we can use our equation n=504, a=10
Our initial sum (432 x 588) therefore also equals 254016.
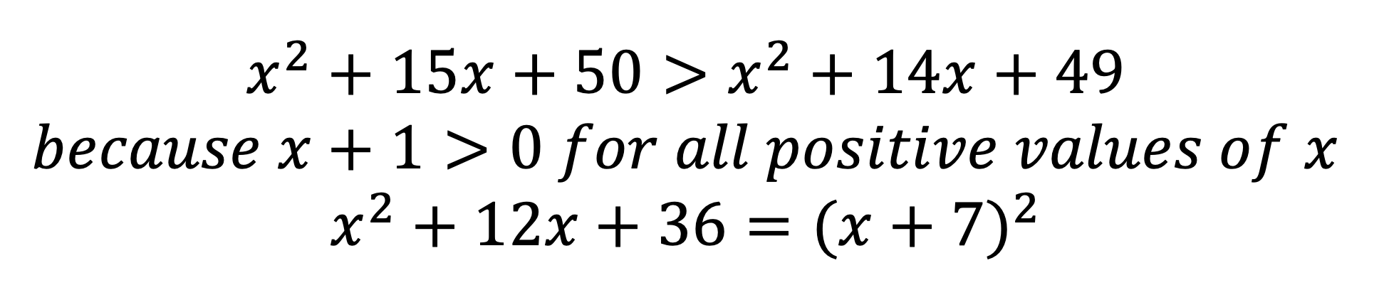
3. This final trick potentially requires a calculator* as instead of squaring we are square-rooting and, when it comes to mental arithmetic, that is a far less accurate subject when then answer isn’t an integer. The following method will help you solve quadratics when you know the answer is an integer. Let us start with an equation

We know that x is an integer and we know that there is one positive value for x and one negative (the coefficient of x2 and the constant are preceded by different signs). We can change this equation so it reads

Now we know that

and
Therefore

With the same vein of thought we can also say that
Therefore

And we can combine both to state

We can now replace the central (x+7)2+x+1 with its value (2064) and then (positive) square root each side. If we do this to our equation, we get

Due to the fact we stated x is an integer we know x+7 and x+8 are also integers so by rounding down the value of 20641/2 we find the value of x+7 and we can therefore find the value of x

Since x1/2 has 2 solutions, in this example +/- 45.4 we can take the other value of to find the other value of x**:

While this technique is only useful in niche scenarios if the coefficient of x2 is not 1 then there is no problem. The situation we must manipulate into existence is (ax+b)2 < y < (ax+b+1)2 as then we can square root and round either up or down to give us two equations with ax+b = +/- y1/2
It is however important to remember this method only works in situations in which we know x is an integer. This method does not work when both solutions are positive as the constant will also be positive. (**Disclaimer: All the tests I’ve done with this method have worked however I haven’t explored all the possibilities I would’ve liked to in time for the essay deadline. Instead of calling this a conclusive study I prefer to think of it as a place for future exploration.**)
*In actual fact with a good enough knowledge of various squares this method doesn’t require a calculator as all you have to find is the nearest square number and know whether the value you are square rooting is bigger or smaller than that number. For example, if we needed to find 101/2, we know 32 is the closest and below 10 so we can form the equation 32 < 101/2 < 42 and solve the equation.
**This additional step only works if we know both solutions are integers.
Section 2: Pythagorean triples
The final section of this essay if about Pythagorean triples, a term I hope everyone reading has heard of I shall explain however, if you are unfamiliar:
- Pythagoras’ theorem states that in a right-angled triangle with side lengths a, b and c (as seen below) .
- A Pythagorean triple is a set of 3 integers which satisfies this theorem.
- The most common example is 3,4 and 5 as 32 + 42 = 25 (52)

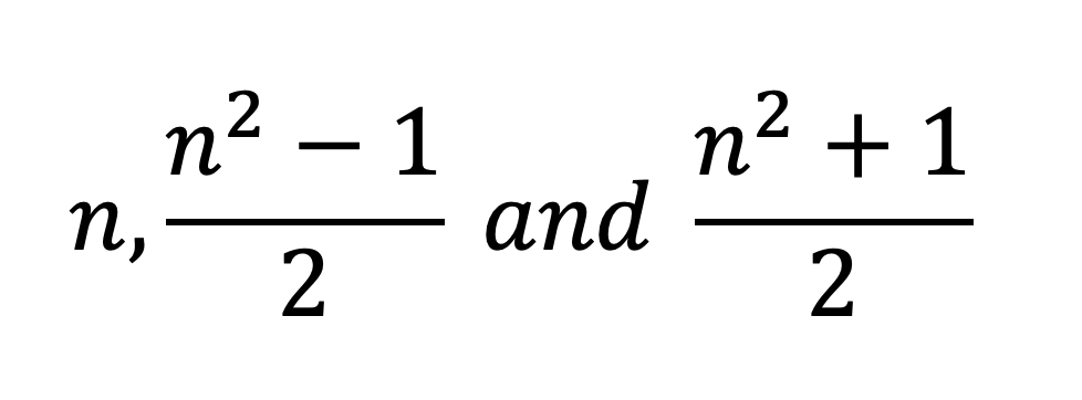
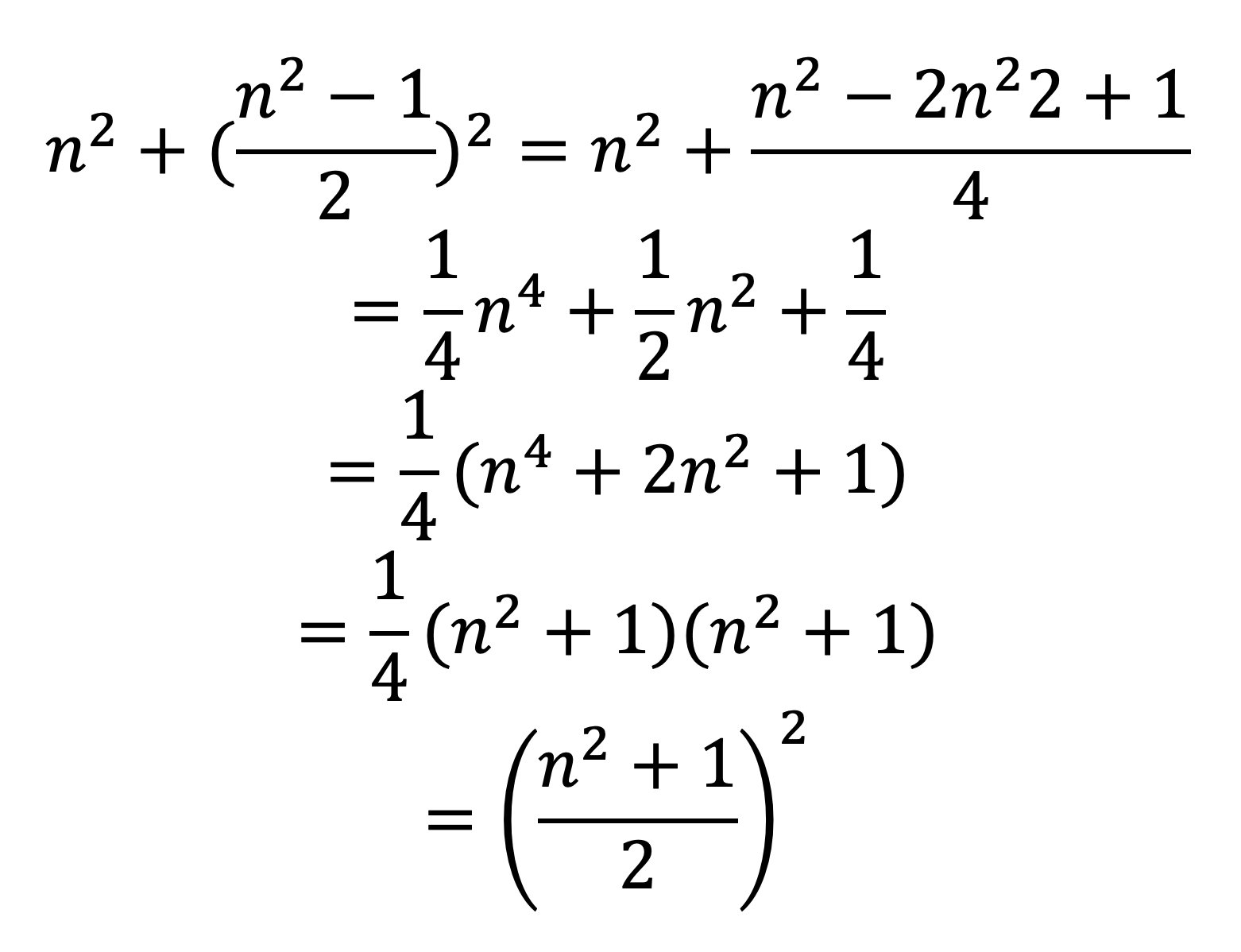
I found interest in these triples at some point recently and have since attempted to find a method to help finding new sets of Pythagorean triples. My initial idea was in the differences between consecutive square numbers as that is essentially what they rely upon – a2 must be the sum of the differences between the squares in between b and c. When approaching a problem like this I tend to look at examples and try to spot patterns. The triple which gave me the most inspiration initially was the 7, 24, 25 triangle (a personal favourite of mine due to how little attention the number 7 often gets) as 24 and 25 are blatantly either side of 72/2. This led me to the ideas that

were expressions for each of the three members of the triple. This can be affirmed with some simple algebra:

The difference between the two larger numbers here is clearly 2 because we add a half to one and take a half from the other. The obvious continuation is to be able to find triples which weren’t just the difference between consecutive squares. So I tried adding another variable – m2 – in place of the 12:

However, this algebra does not work out, if we intend to replace the 1 with an m2 then our initial number must be nm such that a2+b2=c2. Now why don’t we just multiply by 2 for 2nm, n2-m2 and n2+m2 then I looked up a website [2] about Pythagorean triples and realised the Greeks invented this, millennia ago.
This is not the end though! These expressions tell us definitively why the 3,4,5 triangle is the smallest possible Pythagorean triple: when n=1, m cannot take a value so b and c are equal and a is 0 which doesn’t fly; when n=2 however, m can equal exclusively 1 so n2-m2=3 and n2+m2=5 and then b=4. Seeing as there are no integers between 1 and 2 and m<n so can only equal 1 the 3,4,5 triangle must be the smallest Pythagorean triple.
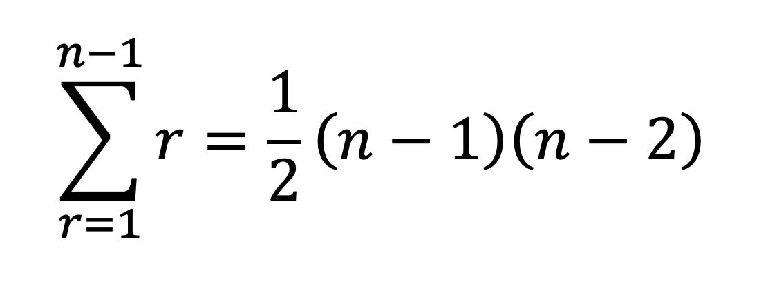
My concluding thought about how many triples there are. Now, obviously there are infinite: n and m can take any integer value to give you a new set. However, if we just consider up to a certain value of n. Since m<n and m>0 and m is a natural number there are n-1 different values of m for each value of n (e.g. n=5, m=1,2,3,4). This means we are doing

Is the total number of different Pythagorean triples. This includes all factors of triples. This means both 3,4,5 and 6,8,10 (2(3,4,5)) are included.
In conclusion, square numbers rock.
[1]– Right triangle, Wikipedia – https://simple.wikipedia.org/wiki/Right_triangle
[2]– Eternal sadness, Wolfram mathworld – https://mathworld.wolfram.com/PythagoreanTriple.html
You can find more entries from the Teddy Rocks Maths Competition here.

Interesting that the number of pythagorean triples in the n,m representation presented is itself a “triangular” number.
LikeLike